Advertisement

Tire Pressure Increaser Crossword

Here are some of the images for Tire Pressure Increaser Crossword that we found in our website database.

Tire Parts Crossword Puzzle

Tire Parts Crossword Puzzle

Air Pressure Crossword Puzzle

Air Pressure Crossword Puzzle

HEN Turbo Back Pressure Increaser

HEN Turbo Back Pressure Increaser

Peer pressure and addiction Crossword Labs

Peer pressure and addiction Crossword Labs

Run Flat Tire Pressure (FAQ) TireGrades

Run Flat Tire Pressure (FAQ) TireGrades

Tire out with ceremonial act (4) Crossword Clue Answers Crossword

Tire out with ceremonial act (4) Crossword Clue Answers Crossword

Futurlio Men #39 sCup Exerciser LCD Negative Pressure Disp

Futurlio Men #39 sCup Exerciser LCD Negative Pressure Disp

Slate Crossword: Attire or What Happens to a Tire (Four Letters)

Slate Crossword: Attire or What Happens to a Tire (Four Letters)

DR18 CIOD Non Pressure Sewer Fittings Increaser Coupling (BxB) Multi

DR18 CIOD Non Pressure Sewer Fittings Increaser Coupling (BxB) Multi

DR18 CIOD Non Pressure Sewer Fittings Increaser Bushing (SPxB) Multi

DR18 CIOD Non Pressure Sewer Fittings Increaser Bushing (SPxB) Multi

Tire Pressure Monitoring System: a Complete GoTire Guide

Tire Pressure Monitoring System: a Complete GoTire Guide

What Should My Tire Pressure Be? Essential Tips for Safety Ask My Auto

What Should My Tire Pressure Be? Essential Tips for Safety Ask My Auto

Blue Brute C 900/C907 Pressure Fittings Increaser Bushing (SPxB

Blue Brute C 900/C907 Pressure Fittings Increaser Bushing (SPxB

Blue Brute C 900/C907 Pressure Fittings Increaser Bushing (SPxB

Blue Brute C 900/C907 Pressure Fittings Increaser Bushing (SPxB

The Importance of Maintaning Proper Tire Pressure Pedal Commander®

The Importance of Maintaning Proper Tire Pressure Pedal Commander®

Subaru Outback Tire Pressure Guide Tips

Subaru Outback Tire Pressure Guide Tips

Kiwi Christmas Crossword Labs

Kiwi Christmas Crossword Labs

Dundas Jafine INC34EZW Plastic Duct To Duct Increaser Black 3 in to 4

Dundas Jafine INC34EZW Plastic Duct To Duct Increaser Black 3 in to 4

Water Pump Water Pressure Increaser Self Priming Pump Automatic Pump

Water Pump Water Pressure Increaser Self Priming Pump Automatic Pump

Ford Tire Pressure Sensor Fault? Here #39 s What To Do

Ford Tire Pressure Sensor Fault? Here #39 s What To Do

Shower Pressure Booster DC24V Garden Hose Pressure Increaser Water

Shower Pressure Booster DC24V Garden Hose Pressure Increaser Water

The Best Digital Tire Pressure Gauges for Accuracy and Durability

The Best Digital Tire Pressure Gauges for Accuracy and Durability

Vehicle Driver Safety Crossword Puzzle

Vehicle Driver Safety Crossword Puzzle

100% geniune Super Speed Gas Compressor LPG Sui Gas Pressure Booster

100% geniune Super Speed Gas Compressor LPG Sui Gas Pressure Booster

Mastercraft Brass 3/8 in 1/4 in NPT Reducer Increaser Canadian Tire

Mastercraft Brass 3/8 in 1/4 in NPT Reducer Increaser Canadian Tire

How to check your tire pressure for optimal performance

How to check your tire pressure for optimal performance

Reset Relearn and Troubleshoot the Chevy Suburban Tire Pressure Light

Reset Relearn and Troubleshoot the Chevy Suburban Tire Pressure Light

#39 Grippy part of a tire #39 Aug 6 NYT Mini Crossword clue solution and hints

#39 Grippy part of a tire #39 Aug 6 NYT Mini Crossword clue solution and hints

TDRRICH 5 5GPM 75PSI RV Water Transfer Pump for Home 110V Electric

TDRRICH 5 5GPM 75PSI RV Water Transfer Pump for Home 110V Electric

SOLVED: A compound reverted gear train is to be designed as a speed

SOLVED: A compound reverted gear train is to be designed as a speed

TDRRICH 5 5GPM 75PSI RV Water Transfer Pump for Home 110V Electric

TDRRICH 5 5GPM 75PSI RV Water Transfer Pump for Home 110V Electric

Honda Odyssey low tire pressure warning light causes how to reset

Honda Odyssey low tire pressure warning light causes how to reset

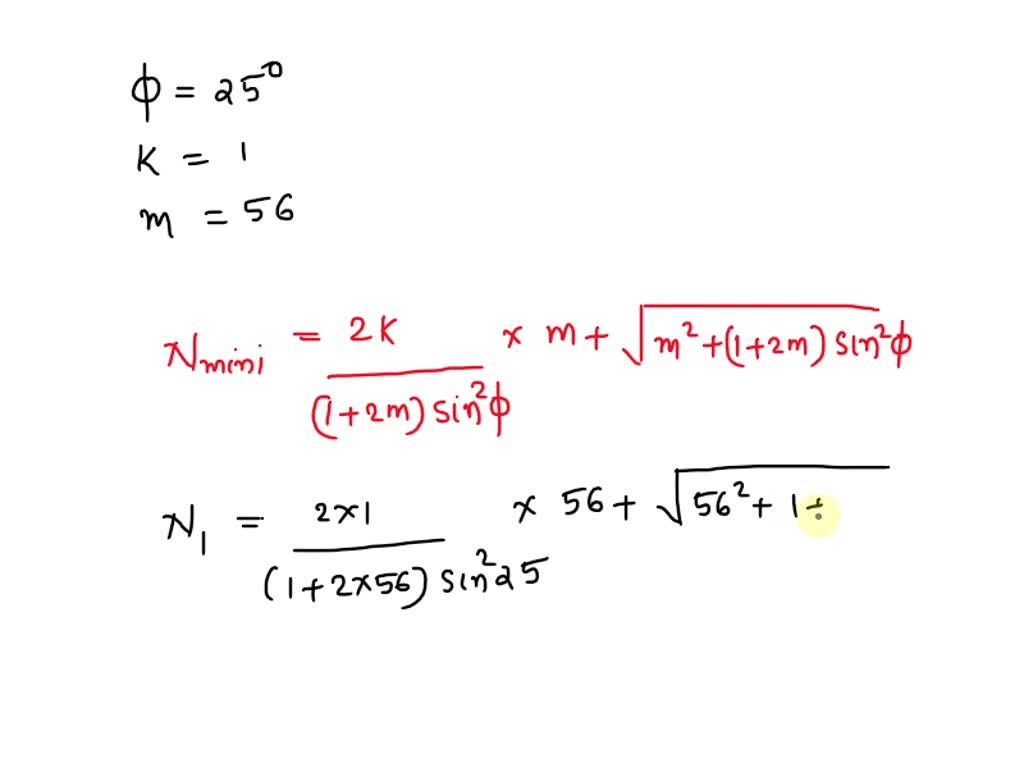
A compound reverted gear train is to be designed as a speed increaser

A compound reverted gear train is to be designed as a speed increaser

NS MiChunXiao Bustline Increaser Pressure breast enhancement (ရင်သားက

NS MiChunXiao Bustline Increaser Pressure breast enhancement (ရင်သားက

SOLVED: The gearbox is to be designed with a compound reverted gear

SOLVED: The gearbox is to be designed with a compound reverted gear

Water Pressure Booster Pump For Home

Water Pressure Booster Pump For Home

Augmentateur de tuyau de poêle Imperial BE Crimp fini noir mat 6 à 7

Augmentateur de tuyau de poêle Imperial BE Crimp fini noir mat 6 à 7

pipe nozel water pressure increaser YouTube

pipe nozel water pressure increaser YouTube

Introducing the World s First Back Pressure Increaser: A Game Changer

Introducing the World s First Back Pressure Increaser: A Game Changer

I turn PVC pipe into a water pump Vs 2 Bottles Air Pressure free no

I turn PVC pipe into a water pump Vs 2 Bottles Air Pressure free no

Cryptic Crossword #28: Dog starting to tire and stray? That #39 s right (7

Cryptic Crossword #28: Dog starting to tire and stray? That #39 s right (7

How to increase water pressure in kitchen tap pani ka pressure kaise

How to increase water pressure in kitchen tap pani ka pressure kaise

Task Force Tips on Twitter: quot Our High Rise Kit makes standpipe

Task Force Tips on Twitter: quot Our High Rise Kit makes standpipe

HEN Nozzles Tech Forward Fire Solutions

HEN Nozzles Tech Forward Fire Solutions

Maverick Jeep Alliance But we love it Instagram

Maverick Jeep Alliance But we love it Instagram

DEEPIKA PUBLIC SCHOOL MANESAR Like a circle the pursuit of

DEEPIKA PUBLIC SCHOOL MANESAR Like a circle the pursuit of

The HEN FORCE™ line featuring the integrated TURBO™ back pressure

The HEN FORCE™ line featuring the integrated TURBO™ back pressure

Electric over hydraulic unit Air Compressors Clearville

Electric over hydraulic unit Air Compressors Clearville

Electric over hydraulic unit Air Compressors Clearville

Electric over hydraulic unit Air Compressors Clearville

Pressure Ulcer Crossword WordMint

Pressure Ulcer Crossword WordMint

Innovation in mineral processing FLS

Innovation in mineral processing FLS

4x Tire Pressure Sensor TPMS For 2016 2019 INFINITI Q50 3 0L JX35

4x Tire Pressure Sensor TPMS For 2016 2019 INFINITI Q50 3 0L JX35

Pressure Injury Crossword WordMint

Pressure Injury Crossword WordMint

Pump Futurlio

Pump Futurlio

Understanding gear ratios Physics and mathematics Custom computer

Understanding gear ratios Physics and mathematics Custom computer

Jsa Form Template prntbl concejomunicipaldechinu gov co

Jsa Form Template prntbl concejomunicipaldechinu gov co