Advertisement

Template Typename T

Here are some of the images for Template Typename T that we found in our website database.

Template Typename T

Template Typename T

Template Typename T

Template Typename T

Templates An introduction Simple Template Functions template typename

Templates An introduction Simple Template Functions template typename

C t 1 Which of the following statements is incarrect Chegg com

C t 1 Which of the following statements is incarrect Chegg com

Understanding C   Typename for Template Mastery

Understanding C Typename for Template Mastery

Working with typename vs class keywords Advanced C   Template

Working with typename vs class keywords Advanced C Template

Where and why do I have to put the quot template quot and quot typename quot keywords

Where and why do I have to put the quot template quot and quot typename quot keywords

Where and why do I have to put the quot template quot and quot typename quot keywords

Where and why do I have to put the quot template quot and quot typename quot keywords

template typename T class Array { public

template typename T class Array { public

Solved template T funcExp(T list int Chegg com

Solved template T funcExp(T list int Chegg com

Recursive template explanation C   Stack Overflow

Recursive template explanation C Stack Overflow

C   : What is difference between template typename T and template class

C : What is difference between template typename T and template class

programming Imgflip

programming Imgflip

C Function Templates prntbl concejomunicipaldechinu gov co

C Function Templates prntbl concejomunicipaldechinu gov co

template class Node public: T m element Node *prev Chegg com

template class Node public: T m element Node *prev Chegg com

Hot С  : Universal References And Perfect Forwarding PPT

Hot С : Universal References And Perfect Forwarding PPT

Trees 2: Dynamic Binary Tree Navigation and Iteration ppt download

Trees 2: Dynamic Binary Tree Navigation and Iteration ppt download

现代C  学习 C  20约束与概念 知乎

现代C 学习 C 20约束与概念 知乎

现代C  学习 利用模板把函数当作参数 知乎

现代C 学习 利用模板把函数当作参数 知乎

2 7 默认类模板实参 知乎

2 7 默认类模板实参 知乎

互联网公司笔试题 知乎

互联网公司笔试题 知乎

C  侵入式链表实现 采用CRTP实现 知乎

C 侵入式链表实现 采用CRTP实现 知乎

C  侵入式链表实现 采用CRTP实现 知乎

C 侵入式链表实现 采用CRTP实现 知乎

C   coroutine generator 实现笔记 知乎

C coroutine generator 实现笔记 知乎

自底向上brpc(一):resource pool 知乎

自底向上brpc(一):resource pool 知乎

STL源码学习(4) list详解 知乎

STL源码学习(4) list详解 知乎

games101 作业3 知乎

games101 作业3 知乎

现代C  学习 模板SFINAE 知乎

现代C 学习 模板SFINAE 知乎

C  中的魔法(Magic) 宏(Macro)与模板(Template) 知乎

C 中的魔法(Magic) 宏(Macro)与模板(Template) 知乎

ByteTransformer源码解析 知乎

ByteTransformer源码解析 知乎

16 基于deque实现全部序列式容器适配器 知乎

16 基于deque实现全部序列式容器适配器 知乎

现代C  学习 模板元编程入门 知乎

现代C 学习 模板元编程入门 知乎

C  的万能引用解析 知乎

C 的万能引用解析 知乎

C/C  模板类模板与函数模板区别,以及用法详解 知乎

C/C 模板类模板与函数模板区别,以及用法详解 知乎

EKF公式推导 知乎

EKF公式推导 知乎

元编程程序设计 步步为营 知乎

元编程程序设计 步步为营 知乎

C   Syntax IND2X

C Syntax IND2X

现代C  学习 遍历对象的所有数据成员 知乎

现代C 学习 遍历对象的所有数据成员 知乎

C  侵入式链表实现 采用CRTP实现 知乎

C 侵入式链表实现 采用CRTP实现 知乎

右值引用 知乎

右值引用 知乎

EKF公式推导 知乎

EKF公式推导 知乎

Vector动态数组(模板语法)(难度3)(含源码) 知乎

Vector动态数组(模板语法)(难度3)(含源码) 知乎

从零开始的算法竞赛Library制作·初衷和搭建环境 知乎

从零开始的算法竞赛Library制作·初衷和搭建环境 知乎

详解为什么C   虚拟成员函数模板不被允许

详解为什么C 虚拟成员函数模板不被允许

c  中template T input(T x)为什么这么写 编程语言 CSDN问答

c 中template T input(T x)为什么这么写 编程语言 CSDN问答

函数模板使用 知乎

函数模板使用 知乎

Algorithms DengNo2 WaveDragon

Algorithms DengNo2 WaveDragon

C  中互斥锁的使用 阿里云开发者社区

C 中互斥锁的使用 阿里云开发者社区

C   中复杂却很有意思的SFINAE技术 luozhiyun`s Blog

C 中复杂却很有意思的SFINAE技术 luozhiyun`s Blog

树、森林、二叉树:相互之间的转换 知乎

树、森林、二叉树:相互之间的转换 知乎

树、森林、二叉树:相互之间的转换 知乎

树、森林、二叉树:相互之间的转换 知乎

ByteTransformer源码解析 知乎

ByteTransformer源码解析 知乎

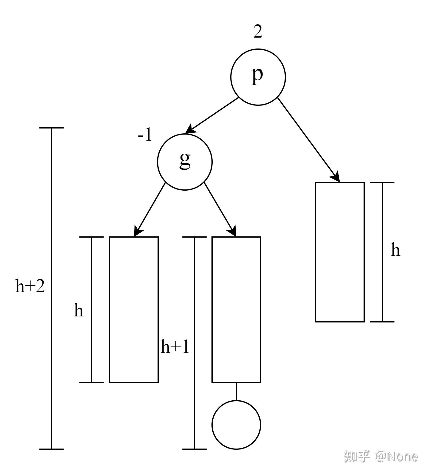
一文理清AVL树(平衡二叉树)的插入与删除 知乎

一文理清AVL树(平衡二叉树)的插入与删除 知乎

类模板 现代 C   模板教程

类模板 现代 C 模板教程

STL源码学习(1) 空间配置器详解 知乎

STL源码学习(1) 空间配置器详解 知乎

C   使用typename来修复模板编译错误 弹吉他的小刘鸭 博客园

C 使用typename来修复模板编译错误 弹吉他的小刘鸭 博客园

QT学习C  (15) qt template CSDN博客

QT学习C (15) qt template CSDN博客

每个程序员都应该建立的硬件心智模型 知乎

每个程序员都应该建立的硬件心智模型 知乎

C  初阶 模板 CSDN博客

C 初阶 模板 CSDN博客