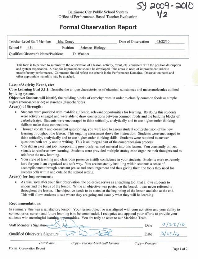
Advertisement

Noted Student Of Socrates Crossword Clue

Here are some of the images for Noted Student Of Socrates Crossword Clue that we found in our website database.

Student of Socrates Crossword Clue Answers Crossword Solver

Student of Socrates Crossword Clue Answers Crossword Solver

Socrates Chemistry Crossword Crossword Labs

Socrates Chemistry Crossword Crossword Labs

Noted octet in higher education NYT crossword clue NY Times Puzzles

Noted octet in higher education NYT crossword clue NY Times Puzzles

Portrayer of a noted sitcom boss Crossword Clue Try Hard Guides

Portrayer of a noted sitcom boss Crossword Clue Try Hard Guides

Noted features of bakeries and candle shops Crossword Clue Answers

Noted features of bakeries and candle shops Crossword Clue Answers

Third in a noted set of eight Crossword Clue Answers Crossword Solver

Third in a noted set of eight Crossword Clue Answers Crossword Solver

Painter With A Noted quot blue Period quot NYT Crossword Clue Gamer Journalist

Painter With A Noted quot blue Period quot NYT Crossword Clue Gamer Journalist

Nick TV presenter noted for partnering Anne Diamond (4) Crossword

Nick TV presenter noted for partnering Anne Diamond (4) Crossword

quot Having the wants I am nearest to the gods quot : Socrates Crossword

quot Having the wants I am nearest to the gods quot : Socrates Crossword

British philosopher noted for his Principia Ethica (1903) Crossword

British philosopher noted for his Principia Ethica (1903) Crossword

Impressionist painter noted for his Boulevard Montmartre series (7 8

Impressionist painter noted for his Boulevard Montmartre series (7 8

Nordic citizen grabs introduction to this noted poet (5) Crossword

Nordic citizen grabs introduction to this noted poet (5) Crossword

Noted name in Italian sculpture crossword clue Archives LAXCrossword com

Noted name in Italian sculpture crossword clue Archives LAXCrossword com

Robert crime writer noted for his 1959 novel #39 Psycho #39 (5

Robert crime writer noted for his 1959 novel #39 Psycho #39 (5

*Noted Senate testifier in 1991 (unscramble letters 5 to 8) Crossword

*Noted Senate testifier in 1991 (unscramble letters 5 to 8) Crossword

Market town in Cumbria noted for its Crab Fair (8) Crossword Clue

Market town in Cumbria noted for its Crab Fair (8) Crossword Clue

Ian Fleming figure Crossword Clue Answers Crossword Solver

Ian Fleming figure Crossword Clue Answers Crossword Solver

Joan actress noted for playing Miss Marple on TV (7) Crossword Clue

Joan actress noted for playing Miss Marple on TV (7) Crossword Clue

Rapper noted for his song Lose Yourself released in 2002 (6

Rapper noted for his song Lose Yourself released in 2002 (6

Greek island noted for the Evangelistria Monastery (8) Crossword Clue

Greek island noted for the Evangelistria Monastery (8) Crossword Clue

Craig biotechnologist noted for his work in genome research (6

Craig biotechnologist noted for his work in genome research (6

May be masculine but not lean it is noted Crossword Clue Answers

May be masculine but not lean it is noted Crossword Clue Answers

Generals and such Crossword Clue Answers Crossword Solver

Generals and such Crossword Clue Answers Crossword Solver

Arthur ******** author noted for his novel #39 Darkness at Noon #39 (8

Arthur ******** author noted for his novel #39 Darkness at Noon #39 (8

Rock band noted for their 1979 song Every Day Hurts (3 4) Crossword

Rock band noted for their 1979 song Every Day Hurts (3 4) Crossword

Writer noted for his screenplay for 1994 film #39 Forrest Gump #39 (4 4

Writer noted for his screenplay for 1994 film #39 Forrest Gump #39 (4 4

Welsh town noted for its annual jazz festival begun in 1984 (6

Welsh town noted for its annual jazz festival begun in 1984 (6

Valley in Moray in Scotland noted for its whisky distillery (9

Valley in Moray in Scotland noted for its whisky distillery (9

Eagle Eye singer noted for his 1997 song Save Tonight (6) Crossword

Eagle Eye singer noted for his 1997 song Save Tonight (6) Crossword

John singer songwriter noted for his song Jack Diane (10

John singer songwriter noted for his song Jack Diane (10

Richard **** singer noted for his 1989 song #39 Right Here Waiting #39 (4

Richard **** singer noted for his 1989 song #39 Right Here Waiting #39 (4

Acker clarinettist noted for his tune Stranger On The Shore (4

Acker clarinettist noted for his tune Stranger On The Shore (4

A breed of domestic cats noted for their short legs (8) Crossword

A breed of domestic cats noted for their short legs (8) Crossword

Grasp a central idea Crossword Clue Answers Crossword Solver

Grasp a central idea Crossword Clue Answers Crossword Solver

Paolo painter noted for depicting the battle of San Romano (7

Paolo painter noted for depicting the battle of San Romano (7

French sculptor noted for his renderings of the human form (5

French sculptor noted for his renderings of the human form (5

Not protected by defenders Crossword Clue Answers Crossword Solver

Not protected by defenders Crossword Clue Answers Crossword Solver

French city on the Bay of Biscay noted for its casinos (8) Crossword

French city on the Bay of Biscay noted for its casinos (8) Crossword

Dutch artist a noted exponent of abstract art movement De Stijl

Dutch artist a noted exponent of abstract art movement De Stijl

Jones late music producer noted for his work with Michael Jackson (6

Jones late music producer noted for his work with Michael Jackson (6

NYT One Half of a Noted Aviation Team Crossword Clue Puzzle Answer from

NYT One Half of a Noted Aviation Team Crossword Clue Puzzle Answer from

Area in the City of London noted for its meat market (10) Crossword

Area in the City of London noted for its meat market (10) Crossword

Noted Jeopardy contestant of 2011 NYT Crossword Clue Puzzle Answer

Noted Jeopardy contestant of 2011 NYT Crossword Clue Puzzle Answer

Story that jumps off the page? Crossword Clue Answers Crossword Solver

Story that jumps off the page? Crossword Clue Answers Crossword Solver

Craze beginning to ebb and die away Crossword Clue Answers

Craze beginning to ebb and die away Crossword Clue Answers

The Rock Johnson And Namesakes Crossword prntbl

The Rock Johnson And Namesakes Crossword prntbl

The Rock Johnson And Namesakes Crossword prntbl

The Rock Johnson And Namesakes Crossword prntbl

Socrates Crossword WordMint

Socrates Crossword WordMint

Socrates Crossword WordMint

Socrates Crossword WordMint

personalgugl Blog

personalgugl Blog

personalgugl Blog

personalgugl Blog

Brain Test Level 97 Help me catch that rabbit

Brain Test Level 97 Help me catch that rabbit

Brain Test Level 279 (NEW) Arggh get rid of these mosquitoes please

Brain Test Level 279 (NEW) Arggh get rid of these mosquitoes please

Brain Test Level 61 How can this be correct

Brain Test Level 61 How can this be correct

Brain Test Level 164 Just had a son Pick a name for him

Brain Test Level 164 Just had a son Pick a name for him

Maestro Mehta Crossword Clue Answers

Maestro Mehta Crossword Clue Answers

Showy flower Crossword Clue Answers

Showy flower Crossword Clue Answers

Brain Test Level 176 Help the ghost hunter with his ghost traps

Brain Test Level 176 Help the ghost hunter with his ghost traps

Brain Test Level 57 Scissor has to win

Brain Test Level 57 Scissor has to win

Brain Test Level 64 Help this frog fly Answer

Brain Test Level 64 Help this frog fly Answer