Advertisement

Joe Birkett Appellate Court

Here are some of the images for Joe Birkett Appellate Court that we found in our website database.

Joe Birkett (US Court Judge) ~ Bio Wiki Photos Videos

Joe Birkett (US Court Judge) ~ Bio Wiki Photos Videos

Joe Birkett (US Court Judge) ~ Bio Wiki Photos Videos

Joe Birkett (US Court Judge) ~ Bio Wiki Photos Videos

Charles birkett Fotos und Bildmaterial in hoher Auflösung Alamy

Charles birkett Fotos und Bildmaterial in hoher Auflösung Alamy

23 Joe Birkett Photos High Res Pictures Getty Images

23 Joe Birkett Photos High Res Pictures Getty Images

23 Joe Birkett Photos High Res Pictures Getty Images

23 Joe Birkett Photos High Res Pictures Getty Images

23 Joe Birkett Photos High Res Pictures Getty Images

23 Joe Birkett Photos High Res Pictures Getty Images

23 Joe Birkett Photos High Res Pictures Getty Images

23 Joe Birkett Photos High Res Pictures Getty Images

Joe Birkett news Today s latest updates CBS Chicago

Joe Birkett news Today s latest updates CBS Chicago

THE BIRKETT FAMILY Bill Birkett

THE BIRKETT FAMILY Bill Birkett

THE BIRKETT FAMILY Bill Birkett

THE BIRKETT FAMILY Bill Birkett

Joe Birkett Official Site for Man Crush Monday #MCM Woman Crush

Joe Birkett Official Site for Man Crush Monday #MCM Woman Crush

Joe Birkett Official Site for Man Crush Monday #MCM Woman Crush

Joe Birkett Official Site for Man Crush Monday #MCM Woman Crush

Joe Birkett Official Site for Man Crush Monday #MCM Woman Crush

Joe Birkett Official Site for Man Crush Monday #MCM Woman Crush

Joseph Birkett BoxRec

Joseph Birkett BoxRec

Joe Birkett Senior Development Management Officer Bristol City

Joe Birkett Senior Development Management Officer Bristol City

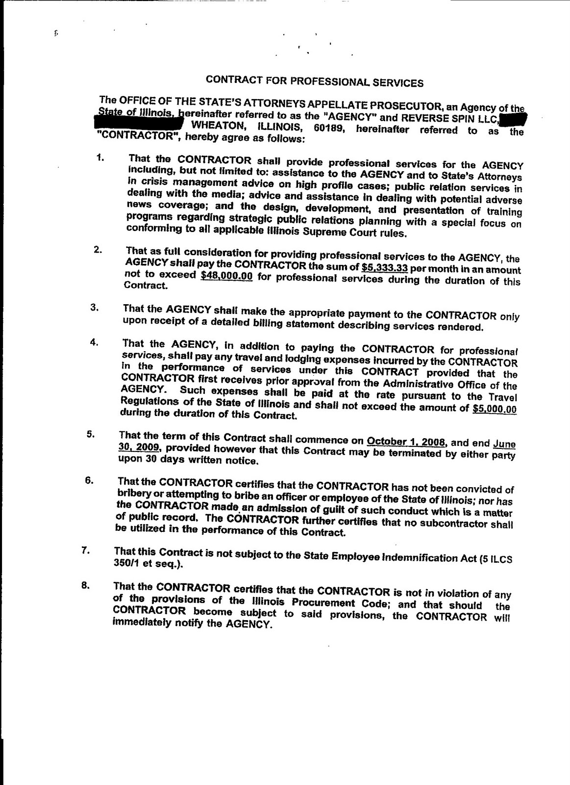
McHenryLeaks: ILSAAP Vice Chairman Joe Birkett Steered Agency Contracts

McHenryLeaks: ILSAAP Vice Chairman Joe Birkett Steered Agency Contracts

McHenryLeaks: ILSAAP Vice Chairman Joe Birkett Steered Agency Contracts

McHenryLeaks: ILSAAP Vice Chairman Joe Birkett Steered Agency Contracts

Joe Birkett Drops Bid For Attorney General Calls Race Against Madigan

Joe Birkett Drops Bid For Attorney General Calls Race Against Madigan

McHenryLeaks: ILSAAP Vice Chairman Joe Birkett Steered Agency Contracts

McHenryLeaks: ILSAAP Vice Chairman Joe Birkett Steered Agency Contracts

McHenryLeaks: ILSAAP Vice Chairman Joe Birkett Steered Agency Contracts

McHenryLeaks: ILSAAP Vice Chairman Joe Birkett Steered Agency Contracts

McHenryLeaks: ILSAAP Vice Chairman Joe Birkett Steered Agency Contracts

McHenryLeaks: ILSAAP Vice Chairman Joe Birkett Steered Agency Contracts

McHenryLeaks: ILSAAP Vice Chairman Joe Birkett Steered Agency Contracts

McHenryLeaks: ILSAAP Vice Chairman Joe Birkett Steered Agency Contracts

McHenryLeaks: ILSAAP Vice Chairman Joe Birkett Steered Agency Contracts

McHenryLeaks: ILSAAP Vice Chairman Joe Birkett Steered Agency Contracts

Joe Birkett Slams Obama and Media Captain Leadbottom s Blog

Joe Birkett Slams Obama and Media Captain Leadbottom s Blog

Joseph Birkett Ballotpedia

Joseph Birkett Ballotpedia

Battle of Britain London Monument P/O T BIRKETT

Battle of Britain London Monument P/O T BIRKETT

Joseph Birkett Ballotpedia

Joseph Birkett Ballotpedia

Joel Birkett Wolf Talent

Joel Birkett Wolf Talent