Advertisement

Dsm 5 Clinical Cases Worksheet Answers

Here are some of the images for Dsm 5 Clinical Cases Worksheet Answers that we found in our website database.

DSM 5 Clinical Cases Neurodevelopmental Disorders PDF Autism

DSM 5 Clinical Cases Neurodevelopmental Disorders PDF Autism

DSM 5 Clinical Cases Schizophrenia and Other Psychotic Disorders

DSM 5 Clinical Cases Schizophrenia and Other Psychotic Disorders

DSM V Clinical Cases Chapter 8 Dissociative Disorders PDF

DSM V Clinical Cases Chapter 8 Dissociative Disorders PDF

Dsm 5 Clinical Cases Worksheet Answers

Dsm 5 Clinical Cases Worksheet Answers

(PDF) DSM 5 Clinical Cases

(PDF) DSM 5 Clinical Cases

DSM 5 Clinical Cases Clinic Dsm 5 Dsm

DSM 5 Clinical Cases Clinic Dsm 5 Dsm

DSM 5 TR™ Clinical Cases 9781615373611 9781615373628 VitalSource

DSM 5 TR™ Clinical Cases 9781615373611 9781615373628 VitalSource

Supreme Court Cases Worksheet Answers Yooob db excel com

Supreme Court Cases Worksheet Answers Yooob db excel com

DSM 5 Clinical Cases by Speedy Publishing · OverDrive: Free ebooks

DSM 5 Clinical Cases by Speedy Publishing · OverDrive: Free ebooks

Factoring Special Cases Worksheet Answers FactorWorksheets com

Factoring Special Cases Worksheet Answers FactorWorksheets com

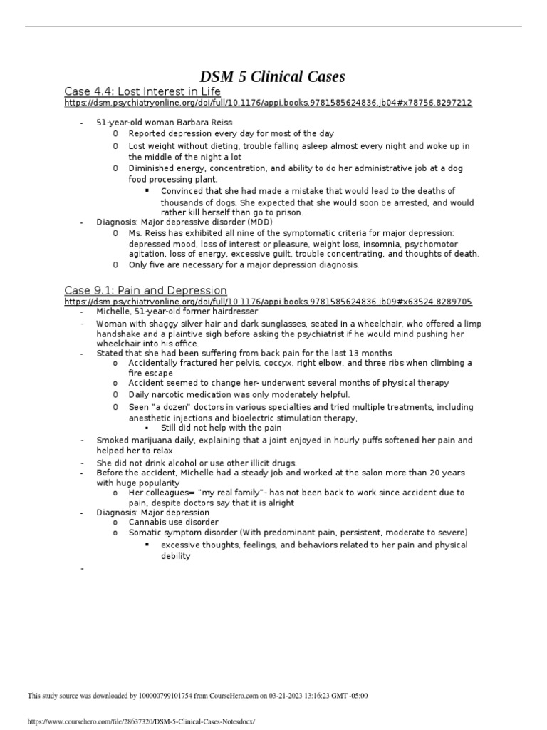
DSM 5 Clinical Cases Notes docx DSM 5 Clinical Cases Case 4 4: Lost

DSM 5 Clinical Cases Notes docx DSM 5 Clinical Cases Case 4 4: Lost

Supreme Court Cases Worksheet Answers Yooob db excel com

Supreme Court Cases Worksheet Answers Yooob db excel com

Supreme Court Cases Worksheet Answers E streetlight com

Supreme Court Cases Worksheet Answers E streetlight com

Supreme Court Cases Worksheet Answers E streetlight com

Supreme Court Cases Worksheet Answers E streetlight com

DSM 5 Clinical Cases Notes PDF Major Depressive Disorder Mental

DSM 5 Clinical Cases Notes PDF Major Depressive Disorder Mental

Supreme Court Cases Worksheet Answers E streetlight com

Supreme Court Cases Worksheet Answers E streetlight com

Supreme Court Cases Worksheet Answers E streetlight com

Supreme Court Cases Worksheet Answers E streetlight com

Supreme Court Cases Worksheet Answers E streetlight com

Supreme Court Cases Worksheet Answers E streetlight com

Supreme Court Cases Worksheet Answers E streetlight com

Supreme Court Cases Worksheet Answers E streetlight com

Supreme Court Cases Worksheet Answers E streetlight com

Supreme Court Cases Worksheet Answers E streetlight com

Supreme Court Cases Worksheet Answers E streetlight com

Supreme Court Cases Worksheet Answers E streetlight com

Supreme Court Cases Worksheet Answers E streetlight com

Supreme Court Cases Worksheet Answers E streetlight com

Supreme Court Cases Worksheet Answers db excel com

Supreme Court Cases Worksheet Answers db excel com

DSM 5 Clinical Cases: 9781585624638: Medicine Health Science Books

DSM 5 Clinical Cases: 9781585624638: Medicine Health Science Books

DSM 5 Clinical Cases by John W Barnhill Textbooks Education Reference

DSM 5 Clinical Cases by John W Barnhill Textbooks Education Reference

DSM 5 Clinical Cases by John W Barnhill Textbooks Education Reference

DSM 5 Clinical Cases by John W Barnhill Textbooks Education Reference

DSM 5 Clinical Cases: 9781585624638: Medicine Health Science Books

DSM 5 Clinical Cases: 9781585624638: Medicine Health Science Books

DSM 5 Clinical Cases: 9781585624638: Medicine Health Science Books

DSM 5 Clinical Cases: 9781585624638: Medicine Health Science Books

Landmark Supreme Court Cases Worksheet Answers db excel com

Landmark Supreme Court Cases Worksheet Answers db excel com

DSM 5 Clinical Cases: 9781585624638: Medicine Health Science Books

DSM 5 Clinical Cases: 9781585624638: Medicine Health Science Books

EBOOK DOWNLOAD DSM 5 Clinical Cases By John W Barnhill by ischioce

EBOOK DOWNLOAD DSM 5 Clinical Cases By John W Barnhill by ischioce

~ gt Free Download DSM 5 Clinical Cases *Full Online

~ gt Free Download DSM 5 Clinical Cases *Full Online

PDF READ FREE DSM 5 Clinical Cases Free Online

PDF READ FREE DSM 5 Clinical Cases Free Online

Case 4 DSM 5™ Clinical Cases by James L Levenson M D pdf Case 4

Case 4 DSM 5™ Clinical Cases by James L Levenson M D pdf Case 4

Clinical Cases Archives • Page 5 of 31 • LITFL

Clinical Cases Archives • Page 5 of 31 • LITFL

Factor Special Cases Worksheet FactorWorksheets com

Factor Special Cases Worksheet FactorWorksheets com

Combination circuits worksheet with answers Artofit

Combination circuits worksheet with answers Artofit

Clinical Psychology Case Studies Worksheet by Danis Marandis TPT

Clinical Psychology Case Studies Worksheet by Danis Marandis TPT

Free factoring special cases worksheet Download Free factoring special

Free factoring special cases worksheet Download Free factoring special

Free landmark supreme court cases worksheet Download Free landmark

Free landmark supreme court cases worksheet Download Free landmark

Landmark Supreme Court Cases Worksheet Printable Word Searches

Landmark Supreme Court Cases Worksheet Printable Word Searches

DSM 5 TR pdf psychology disorders data a PDF

DSM 5 TR pdf psychology disorders data a PDF

Free case study worksheet Download Free case study worksheet png

Free case study worksheet Download Free case study worksheet png

DSM 5 Criteria for OCD Example Free PDF Download

DSM 5 Criteria for OCD Example Free PDF Download

1 Hajdarevic DSM 5 2 docx Case 4 DSM 5™ Clinical Cases Jennifer J

1 Hajdarevic DSM 5 2 docx Case 4 DSM 5™ Clinical Cases Jennifer J

DSM5 Case Studies docx DSM 5 Case Studies Read the case studies in

DSM5 Case Studies docx DSM 5 Case Studies Read the case studies in

Understanding DSM 5 Clinical Cases: Bipolar Disorder and Course Hero

Understanding DSM 5 Clinical Cases: Bipolar Disorder and Course Hero

David Carter v Sims part 2 Clinical Worksheet CONCEPT MAP WORKSHEET

David Carter v Sims part 2 Clinical Worksheet CONCEPT MAP WORKSHEET

SOLUTION: Disorder Worksheet 1 Case Studies Studypool

SOLUTION: Disorder Worksheet 1 Case Studies Studypool

SOLUTION: Disorder Worksheet 1 Case Studies Studypool

SOLUTION: Disorder Worksheet 1 Case Studies Studypool

Abnormal Psychology the DSM 5 Reading w/ Questions: Print Digital

Abnormal Psychology the DSM 5 Reading w/ Questions: Print Digital

DSM 5 Case Studies Student Pages Case 1 DSM 5™ Clinical Cases by

DSM 5 Case Studies Student Pages Case 1 DSM 5™ Clinical Cases by

DSM 5 Case Studies Student Pages Case 1 DSM 5™ Clinical Cases by

DSM 5 Case Studies Student Pages Case 1 DSM 5™ Clinical Cases by

Solved There is 5 case studies Could you please write the Chegg com

Solved There is 5 case studies Could you please write the Chegg com

DSM 5 Case Studies Student Pages Case 1 DSM 5™ Clinical Cases by

DSM 5 Case Studies Student Pages Case 1 DSM 5™ Clinical Cases by

DSM 5 Case Studies Student Pages Case 1 DSM 5™ Clinical Cases by

DSM 5 Case Studies Student Pages Case 1 DSM 5™ Clinical Cases by

2022 DSM 5 Case Studies Student Case 9 DSM 5™ Clinical Cases Arshya

2022 DSM 5 Case Studies Student Case 9 DSM 5™ Clinical Cases Arshya

2022 DSM 5 Case Studies Student Case 9 DSM 5™ Clinical Cases Arshya

2022 DSM 5 Case Studies Student Case 9 DSM 5™ Clinical Cases Arshya

DSM 5 TR Manual Diagnóstico y Estadístico de los Trastornos Mentales

DSM 5 TR Manual Diagnóstico y Estadístico de los Trastornos Mentales

2022 DSM 5 Case Studies Student Case 9 DSM 5™ Clinical Cases Arshya

2022 DSM 5 Case Studies Student Case 9 DSM 5™ Clinical Cases Arshya