Advertisement

Document Review Certification

Here are some of the images for Document Review Certification that we found in our website database.

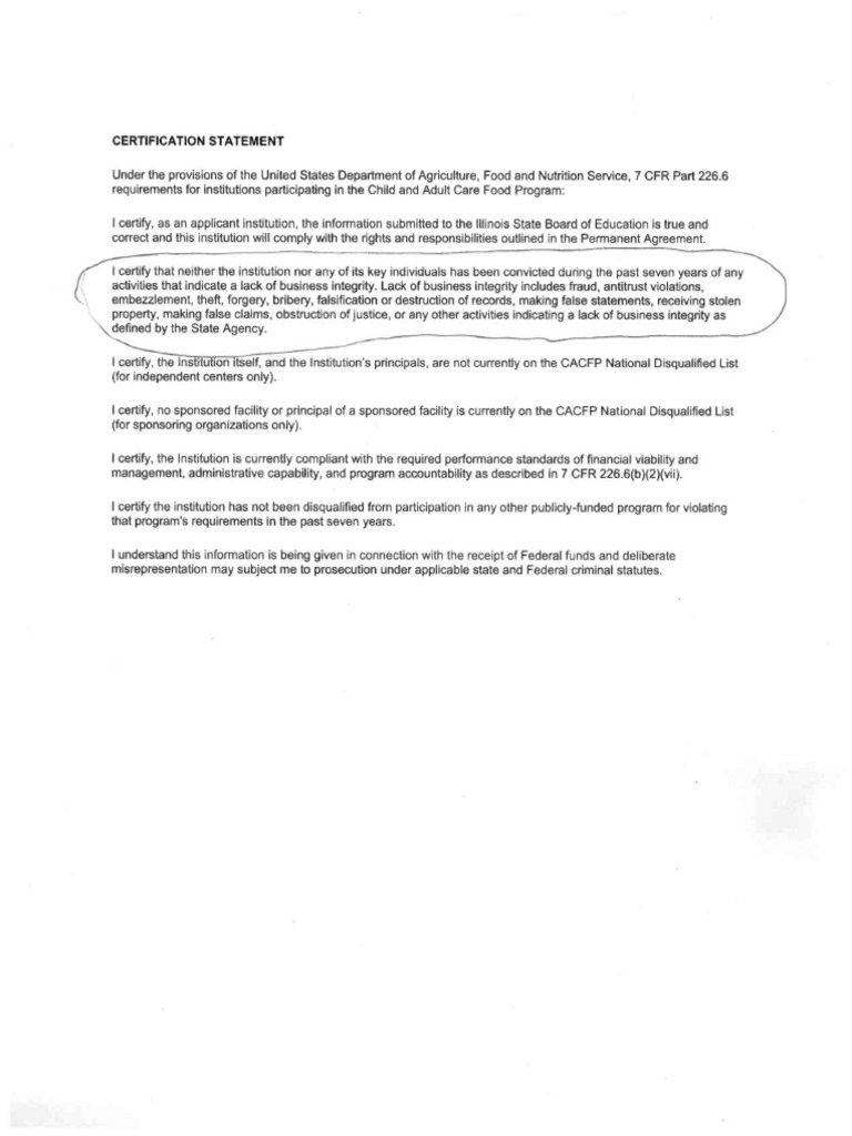
Certification Statement PDF

Certification Statement PDF

IFPS Hybrid Hydraulic Mechanic Certification Review Program IFPS

IFPS Hybrid Hydraulic Mechanic Certification Review Program IFPS

Arkansas Renewal Application for Private Review Agent Certification

Arkansas Renewal Application for Private Review Agent Certification

Arkansas Renewal Application for Private Review Agent Certification

Arkansas Renewal Application for Private Review Agent Certification

Document Control Certification Training prntbl

Document Control Certification Training prntbl

DISCO Search Review Certification (2023) Credly

DISCO Search Review Certification (2023) Credly

Software Document Review For eDiscovery

Software Document Review For eDiscovery

Document review Royalty Free Vector Image VectorStock

Document review Royalty Free Vector Image VectorStock

MBE Certification TSMSDC

MBE Certification TSMSDC

Product Certification

Product Certification

Quality Assurance and Standard Certification Concept Wooden blocks

Quality Assurance and Standard Certification Concept Wooden blocks

Document clipart handout Picture #2614741 document clipart handout

Document clipart handout Picture #2614741 document clipart handout

Certification Exam Review for Pharmacy Technicians Fifth Edition

Certification Exam Review for Pharmacy Technicians Fifth Edition

Review document concept Royalty Free Vector Image

Review document concept Royalty Free Vector Image

Document review process and quality control concept Hand placing

Document review process and quality control concept Hand placing

Fillable Online Third Party Review Certification Form Fax Email Print

Fillable Online Third Party Review Certification Form Fax Email Print

Business Registration Briefcase Document Certification Icon Stock

Business Registration Briefcase Document Certification Icon Stock

California Monthly Trust Account Reconciliation and Review

California Monthly Trust Account Reconciliation and Review

Google Data Analytics Certification Review for 2023 KDnuggets

Google Data Analytics Certification Review for 2023 KDnuggets

Water Treatment Certification Review (Grades 1 2) Oceano Community

Water Treatment Certification Review (Grades 1 2) Oceano Community

Document Review Process Quality Control Concept Stock Photo 2504481787

Document Review Process Quality Control Concept Stock Photo 2504481787

Legal Document Review of Contracts Terms Conditions NDAs

Legal Document Review of Contracts Terms Conditions NDAs

1 929 Certification Tracking Royalty Free Photos and Stock Images

1 929 Certification Tracking Royalty Free Photos and Stock Images

Plastic Surgery Certification Document and Medical Tools on a Clinic

Plastic Surgery Certification Document and Medical Tools on a Clinic

Form 8101 Fill Out Sign Online and Download Fillable PDF Kentucky

Form 8101 Fill Out Sign Online and Download Fillable PDF Kentucky

Torii awarded ITAM Review certification for Enterprise SaaS Management

Torii awarded ITAM Review certification for Enterprise SaaS Management

Document review and quality control process A hand holding magnifying

Document review and quality control process A hand holding magnifying

Certification Award Success Achievement for Document Best Qualification

Certification Award Success Achievement for Document Best Qualification

Document with Written Text and Certificate Stamp Icon Symbol

Document with Written Text and Certificate Stamp Icon Symbol

How to Set up Document Review in Confluence Stiltsoft

How to Set up Document Review in Confluence Stiltsoft

Mississippi Intergovernmental Review Certification Arpa Rural Water

Mississippi Intergovernmental Review Certification Arpa Rural Water

Certification Document with Blue Ribbon Sustainable Leaf Symbol and

Certification Document with Blue Ribbon Sustainable Leaf Symbol and

Mordheim La Ciudad de Los Condenados PDF Juegos de guerra

Mordheim La Ciudad de Los Condenados PDF Juegos de guerra

Document verification inspection with magnifying glass Quality

Document verification inspection with magnifying glass Quality

Vector Illustration of a Service Level Agreement SLA Document with

Vector Illustration of a Service Level Agreement SLA Document with

Could 5th Circuit #39 s Proposed AI Review Certification Deter Use of the

Could 5th Circuit #39 s Proposed AI Review Certification Deter Use of the

Certification Notary Acknowledgement Form Notary Acknowledgement

Certification Notary Acknowledgement Form Notary Acknowledgement

Professional Document Review and Correction Editor Software Premium

Professional Document Review and Correction Editor Software Premium

City of San Antonio Texas Review Certification of One/Two Family

City of San Antonio Texas Review Certification of One/Two Family

Digital Document Management in Business: Ensuring Quality Standards and

Digital Document Management in Business: Ensuring Quality Standards and

Quality Approval Document Management System Verified Checklist Forms

Quality Approval Document Management System Verified Checklist Forms

Certification Tracker Software Mac and Windows The Instructor Corner

Certification Tracker Software Mac and Windows The Instructor Corner

Appraisal Review Certification Designation Home Rurdev Usda Form Fill

Appraisal Review Certification Designation Home Rurdev Usda Form Fill

Document review process and quality control concept Certificate

Document review process and quality control concept Certificate

Submittal Process In Construction Key Points To Streamline Document

Submittal Process In Construction Key Points To Streamline Document

Document Review Process and Quality Control Concept Hand Holding

Document Review Process and Quality Control Concept Hand Holding

Professional Document Review and Grammar Check for Perfecting Content

Professional Document Review and Grammar Check for Perfecting Content

Document Review Process and Quality Control Concept Hand Holding

Document Review Process and Quality Control Concept Hand Holding

Certificate Verification Document Approval Quality Assurance and

Certificate Verification Document Approval Quality Assurance and

CJIS Certification: What Does It Mean to Be CJIS Compliant? Lorelei Web

CJIS Certification: What Does It Mean to Be CJIS Compliant? Lorelei Web

Document Review or Signing Process Designed for Quality Control

Document Review or Signing Process Designed for Quality Control

ISO 27001 Certification Heidi Compliance Series Heidi AI

ISO 27001 Certification Heidi Compliance Series Heidi AI

OSHA 10 Certification Online Free: Your Ultimate Guide

OSHA 10 Certification Online Free: Your Ultimate Guide

Certification of violations annual review of driving: Fill out sign

Certification of violations annual review of driving: Fill out sign

Office Document Review Concept Plan ProcessẢnh có sẵn2434100491

Office Document Review Concept Plan ProcessẢnh có sẵn2434100491

Analyzing aiR for Review results

Analyzing aiR for Review results

IT User Access Review Form Template in Word PDF Google Docs

IT User Access Review Form Template in Word PDF Google Docs

Chpn Certification Review 9780826100436 Patricia Moyle Wright

Chpn Certification Review 9780826100436 Patricia Moyle Wright

Review Meeting Checklist Stock Illustrations 298 Review Meeting

Review Meeting Checklist Stock Illustrations 298 Review Meeting