Advertisement

Blank Script Template

Here are some of the images for Blank Script Template that we found in our website database.

Click on the pic to download this great sample beat sheet Boss

Click on the pic to download this great sample beat sheet Boss

Blank Personal Development Plan Template Free Download

Blank Personal Development Plan Template Free Download

Voiceover Script for Documentary PDF

Voiceover Script for Documentary PDF

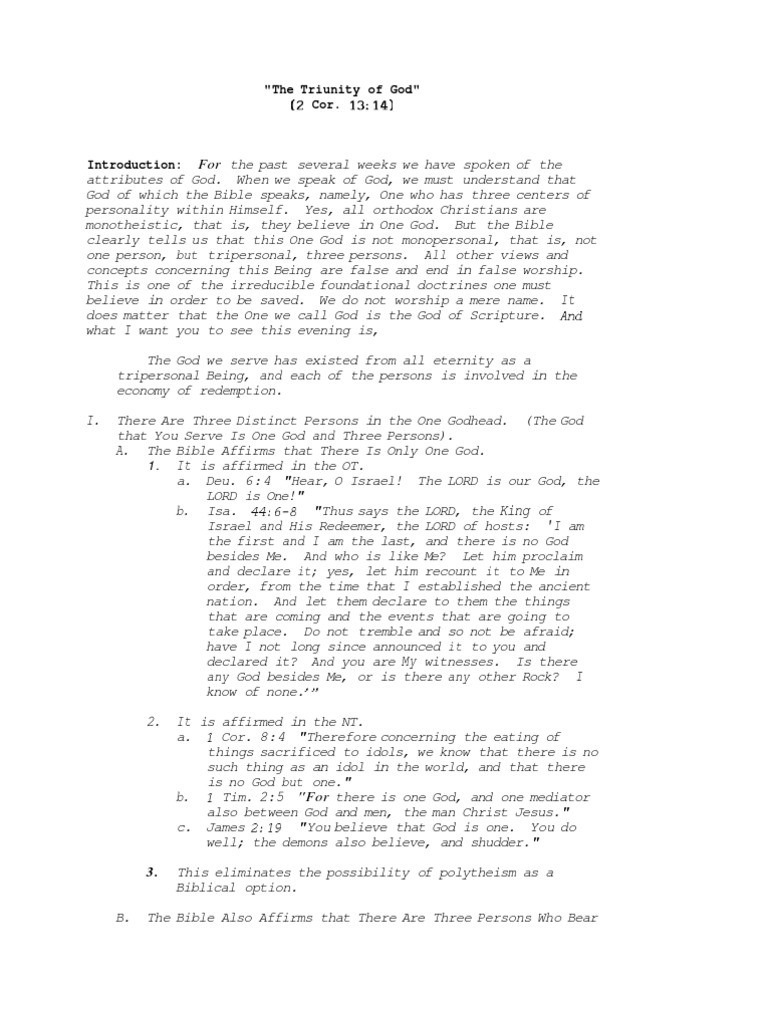
The Trinity and The Plan of Salvation PDF God The Father Trinity

The Trinity and The Plan of Salvation PDF God The Father Trinity

Life Story Script Downtown Magnets High School

Life Story Script Downtown Magnets High School

Story Telling Competition Script LandinkruwYu

Story Telling Competition Script LandinkruwYu

Dear Evan Hansen Movie Script PDF

Dear Evan Hansen Movie Script PDF

Impulse 2 WB Answer Key PDF News

Impulse 2 WB Answer Key PDF News

Trifles ONE WORD Trifles by Susan Glaspell (1916) CAST GEORGE

Trifles ONE WORD Trifles by Susan Glaspell (1916) CAST GEORGE

Talk Show Script PDF

Talk Show Script PDF

Talk Show Script PDF

Talk Show Script PDF

SOLUTION: Game Night Studypool

SOLUTION: Game Night Studypool

Demonstration Speech Outline

Demonstration Speech Outline

British Isles Script PDF

British Isles Script PDF

Grade 8 The Giver Essay

Grade 8 The Giver Essay

drama mime 2010: Drama script

drama mime 2010: Drama script

Usmc Book Report Template

Usmc Book Report Template

Create an Auto CAD block containing the graphical representation of the

Create an Auto CAD block containing the graphical representation of the

PE Report HELLO Magandang magandang (5x) buhay sa inyong lahat

PE Report HELLO Magandang magandang (5x) buhay sa inyong lahat

The Art of War Study Guide The Art Of War Military Free 30 day

The Art of War Study Guide The Art Of War Military Free 30 day

Short Film Script PDF

Short Film Script PDF

37 Easy Screenplay Script Writing Templates (Guide Tips)

37 Easy Screenplay Script Writing Templates (Guide Tips)

Love Across Time PDF

Love Across Time PDF

Contract Template Articles PDF Writing Software Development

Contract Template Articles PDF Writing Software Development

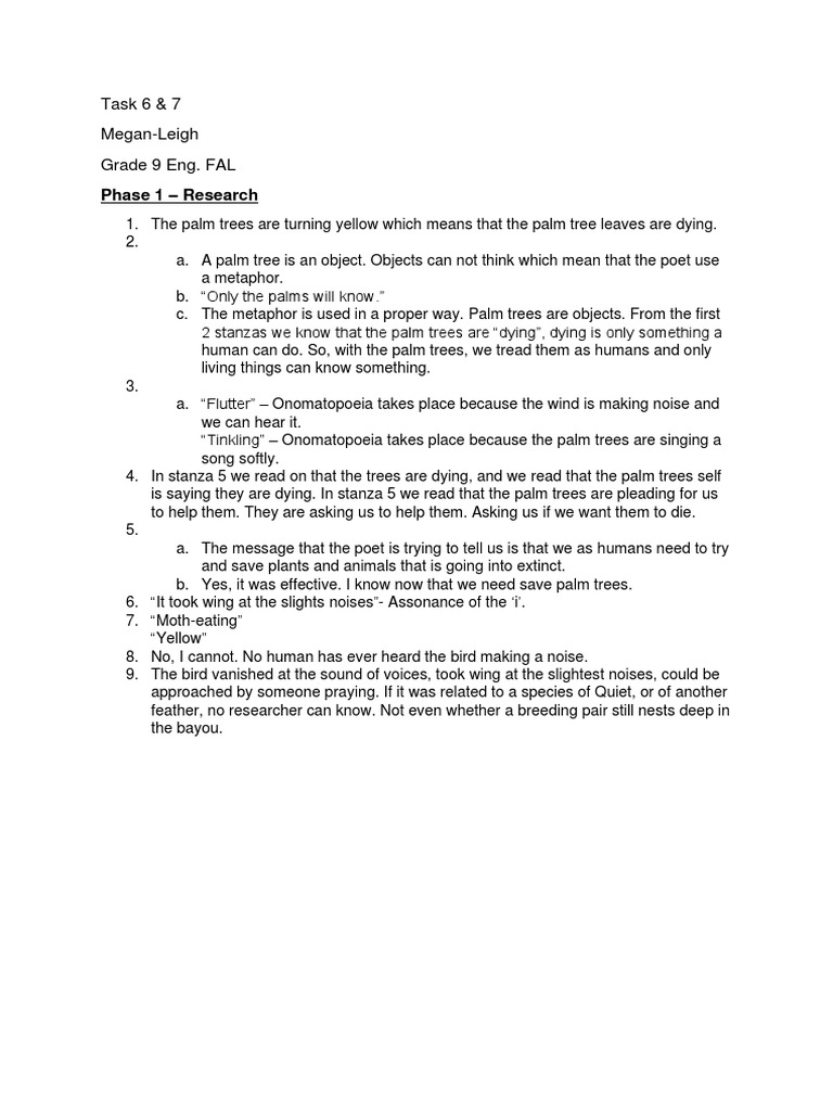
Grade 9 English FAL PDF

Grade 9 English FAL PDF

Fruit of The Spirit Revised PDF Fruit Of The Holy Spirit Patience

Fruit of The Spirit Revised PDF Fruit Of The Holy Spirit Patience

Fruit of The Spirit Revised PDF Fruit Of The Holy Spirit Patience

Fruit of The Spirit Revised PDF Fruit Of The Holy Spirit Patience

Antigone by Sophocles PDF Oedipus Sophocles

Antigone by Sophocles PDF Oedipus Sophocles

Sermon Ultimate Love of God PDF Jesus Religious Belief And Doctrine

Sermon Ultimate Love of God PDF Jesus Religious Belief And Doctrine

Cola Wars Case STRA Professor Wendy Bradley Cola Case questions

Cola Wars Case STRA Professor Wendy Bradley Cola Case questions

Five Tribes Plain and Simple Base PDF Games Of Mental Skill Gaming

Five Tribes Plain and Simple Base PDF Games Of Mental Skill Gaming

Charlie and Lisa Final Script Draft PDF

Charlie and Lisa Final Script Draft PDF

tips for teaching knot tying Colter Co

tips for teaching knot tying Colter Co

Lagway Elementary PTO

Lagway Elementary PTO

Download Instructions for Form NHJB 2142 P Notice to Towns and Cities

Download Instructions for Form NHJB 2142 P Notice to Towns and Cities

Drama Analysis Assignment PDF

Drama Analysis Assignment PDF

T H e I R I S H G U I T A R C H o R D C H A R T PDF Guitars Chord

T H e I R I S H G U I T A R C H o R D C H A R T PDF Guitars Chord